### PUNTOS CLAVE
- La eliminación excesiva de potasio durante la sesión de diálisis (gradiente potasio sérico-dializado) puede aumentar el riesgo de alargamiento del intervalo QT y arritmias ventriculares.
- Los pacientes en hemodiálisis tienen un mayor riesgo de muerte súbita.
- Este estudio mostró una asociación entre el uso de antibióticos que prolongan el intervalo QT y el riesgo de muerte súbita en pacientes en hemodiálisis.
- Se observó un mayor riesgo de muerte súbita en pacientes que recibieron Azitromicina, Levofloxacino o Moxifloxacino en comparación con pacientes que usaron Amoxicilina para el tratamiento de infecciones respiratorias.
- Es importante destacar que este riesgo fue aún mayor en pacientes con un mayor gradiente de potasio sérico-dializado.
- Debemos prestar especial atención al recetar medicamentos con potencial para prolongar el intervalo QT en pacientes en hemodiálisis, especialmente si tienen antecedentes de intervalo QT largo o insuficiencia cardíaca, ya que tienen un mayor riesgo de muerte súbita.
## MOTIVO DEL ESTUDIO
Los pacientes en hemodiálisis tienen un mayor riesgo de arritmias ventriculares y muerte súbita, con una tasa estimada de más de 20 veces en comparación con la población general.
Los pacientes que se someten a diálisis con un mayor gradiente de potasio (sérico-dializado) tienen un mayor riesgo de presentar un intervalo QT prolongado, que se asocia con un mayor riesgo de hospitalización y muerte.
Los pacientes dialíticos están expuestos a numerosos agentes proarritmicos, especialmente medicamentos que pueden prolongar el intervalo QT, siendo la azitromicina y las quinolonas respiratorias los medicamentos que más se utilizan y que afectan el intervalo QT.
Estudios recientes han mostrado una asociación entre estos antibióticos y el riesgo de muerte súbita. Sin embargo, ¿las fluctuaciones de potasio durante una sesión de diálisis afectan el riesgo de arritmias y muerte súbita en pacientes que toman estos medicamentos?
## RESUMEN DEL ESTUDIO
**Artículo**: Antibióticos que prolongan el intervalo QT, gradiente de potasio sérico-dializado y riesgo de muerte cardíaca súbita entre pacientes en hemodiálisis de mantenimiento ([enlace](https://www.ncbi.nlm.nih.gov/pmc/articles/PMC10127135/pdf/main.pdf))
**Revista**: Kidney Medicine, publicado el 15 de febrero de 2023
**Metodología**
Este estudio se llevó a cabo para evaluar si el gradiente de potasio sérico-dializado modifica el riesgo de muerte súbita en pacientes tratados con antibióticos que prolongan el intervalo QT.
Se analizaron datos del Sistema de Datos Renales de EE. UU. (US Renal Data System, USRDS). Fue un estudio de cohorte retrospectivo (2007-2017) con comparación activa que intentó evaluar si el gradiente de potasio modifica el riesgo de muerte súbita en pacientes en hemodiálisis que reciben antibióticos que prolongan el intervalo QT.
Se excluyeron de análisis a pacientes incidentes (<90 días de hemodiálisis), aquellos sin información sobre potasio sérico, hospitalizados recientemente o con ingreso hospitalario reciente y portadores de desfibrilador cardioversor implantable.
En la base de datos, se realizaron comparaciones entre pacientes en hemodiálisis que recibieron los siguientes tratamientos:
- Azitromicina vs. Amoxicilina
- Quinolonas respiratorias vs. Amoxicilina
*Quinolonas respiratorias: moxifloxacino o levofloxacino
La amoxicilina se utilizó como medicamento de control en pacientes en hemodiálisis que también recibieron tratamiento para infecciones respiratorias y que no tomaron medicamentos que prolongan el intervalo QT.
Se identificó el período de prescripción de los medicamentos y se realizó un seguimiento durante 14 días para evaluar la evolución con muerte súbita.
El efecto modificador de interés fue el gradiente de potasio sérico-dializado del período más cercano al inicio de los medicamentos. Se realizó un análisis dicotómico en relación con el gradiente de potasio sérico-dializado (≥3 mEq/L o <3 mEq/L), dado que estudios previos han demostrado un mayor riesgo de hospitalización y muerte con gradientes ≥3 mEq/L.
Se registró la tasa de muerte cardíaca súbita en los primeros 14 días de uso del antibiótico, definida como muerte por arritmia o paro cardíaco como causa principal.
**Resultados**
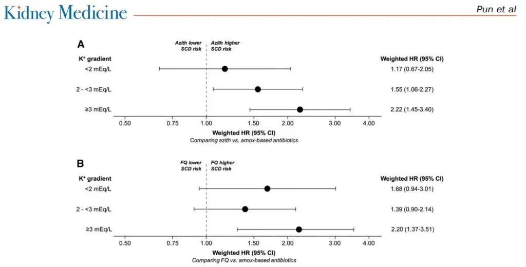
**Azitromicina vs. Amoxicilina:** Se analizaron más de 217,000 pacientes, de los cuales 113,516 fueron tratados con azitromicina y 103,493 con amoxicilina. Un total del 38.7% de los pacientes tenía un gradiente de potasio >3 mEq/L. Se produjeron un total de 274 episodios de muerte súbita, y se observaron más episodios con azitromicina que con amoxicilina (15.5 vs. 9.4 eventos por cada 10,000 tratamientos), **HR, 1.68; IC del 95%, 1.31-2.16).** El riesgo fue aún mayor en los pacientes con un gradiente de K ≥3 mEq/L (HR 2.22; IC del 95%, 1.46-3.40 vs. 1.43; IC del 95%, 1.04-1.96).
**Quinolonas respiratorias vs. Amoxicilina:** Hubo 65,659 pacientes que recibieron quinolonas y 103,776 que recibieron amoxicilina. Se observaron un total de 233 episodios de muerte súbita después de un seguimiento de 14 días. Similar a lo observado con azitromicina, se identificó una mayor tasa de eventos en comparación con amoxicilina (20.3 vs. 9.5 eventos por cada 10,000 tratamientos) con HR, 1.72; IC del 95%, 1.30-2.27). El riesgo fue aún mayor en los pacientes con un gradiente de K >3 mEq/L (HR, 2.19; IC del 95%, 1.37-3.50 vs. 1.50; IC del 95%, 1.06-2.11).

Azitromicina y quinolonas respiratorias vs. amoxicilina y el riesgo de muerte súbita en 14 días
## OPINIÓN NEFROATUAL
Este fue un estudio interesante que mostró una asociación entre antibióticos que prolongan el intervalo QT (azitromicina/levofloxacino/moxifloxacino) y el riesgo de muerte súbita en pacientes en hemodiálisis. Este riesgo fue aún mayor en pacientes con un mayor gradiente de potasio (sérico-dializado) ≥3 mEq/L.
El riesgo de muerte súbita y antibióticos que prolongan el intervalo QT ya ha sido descrito en la población general y en la población con enfermedad renal crónica en diálisis.
Quizás debemos prestar más atención al recetar azitromicina/levofloxacino/moxifloxacino a pacientes en hemodiálisis, especialmente a aquellos con insuficiencia cardíaca grave o que ya tienen un intervalo QT prolongado, es decir, un mayor riesgo de muerte súbita debido a arritmias potencialmente fatales.
El estudio tiene limitaciones importantes: es retrospectivo, tiene un poder estadístico limitado debido al número limitado de eventos en los 14 días posteriores al tratamiento con medicamentos y no hubo estandarización en la medición del potasio ni en la realización de ECG, lo que podría introducir factores de confusión que podrían influir en los resultados.
Es importante destacar que el riesgo de un intervalo QT prolongado es mayor cuando los pacientes tienen hipocalemia. A pesar de que los pacientes en hemodiálisis a menudo presentan hipercalemia, debemos recordar las constantes fluctuaciones pre y postdiálisis como factores de riesgo adicionales.
Este estudio nuevamente resalta la importancia de no utilizar baños de diálisis con K <2 mEq/L, una recomendación que ya está bien establecida en la literatura.
A pesar de que el número de eventos de muerte súbita fue pequeño, sin duda debemos prestar atención al intervalo QT y a los niveles de potasio en pacientes en hemodiálisis cuando consideramos recetar azitromicina, levofloxacino o moxifloxacino, así como otros medicamentos que prolonguen el intervalo QT.